ARCHIVE - Forecast relative to the night starting on 2025/12/11 MST |
Note: click on a figure to magnify the image.
Date of figures refers to the start of night in MST.
Date of figures refers to the start of night in MST.
RELATIVE HUMIDITY VERTICAL PROFILES
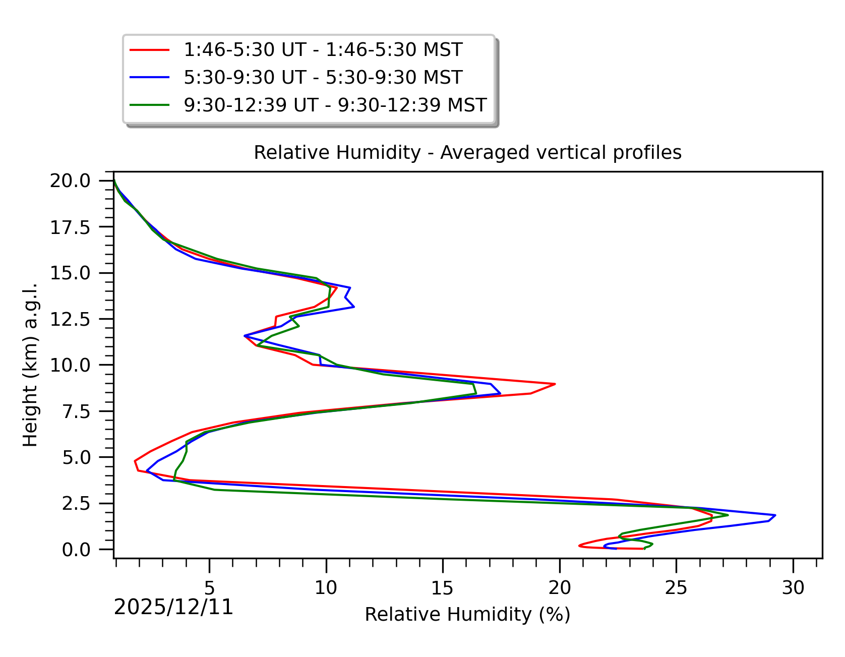
Vertical profiles of the relative humidity are computed in the [0-20km] range above ground level (a.g.l.) and centered on the LBT. Data points frequency is 2 minutes.- TEMPORAL EVOLUTION:
The contour plot represents the temporal evolution of relative humidity vertical profiles between the sunset and the sunrise. On the x-axis is time in UT (bottom), in MST (top). Mountain Standard Time MST=UT-7. On the y-axis the height above ground level. The color scale represents the relative humidity percentage.
|
|
Fig. 1: Relative humidity vertical profile temporal evolution between the sunset and the sunrise. Dashed lines indicate the dusk and the dawn. |
- TIME AVERAGES:
Three time averages are presented, computed in the first, central and last part of the night (see partition). The corresponding MST (MST=UT-7) is shown on the top of the figure.
The blue light halo around each average represents the +/- sigma in the respective time window.
Fig. 5 represents the three time averages in the same plot with different colors to better appreciate the macroscopic changes in the three temporal intervals.
|
|
Fig 5: Averaged relative humidity in the three successive periods of the night (see red, blue and green intervals). |









